[Swift] 백준 15483번: 최소 편집 - DP자료구조와 알고리즘/알고리즘2024. 4. 2. 15:30
Table of Contents
15483번: 최소 편집
첫째 줄과 둘째 줄에 두 문자열이 주어진다. 문자열은 알파벳 소문자로만 이루어져 있으며, 최대 1000글자로 이루어져 있다.
www.acmicpc.net
문제
- 주어진 A를 최소 횟수로 연산을 수행하여 B로 만드는 문제
연산의 3종류
- 삽입: 한 위치에 문자 하나를 삽입
- 삭제: 문자 하나를 삭제
- 교체: 문자 하나를 다른 문자로 교체
제한사항
- 문자열은 알파벳 소문자로만 구성
- 문자열은 최대 1000글자
풀이
문제의 핵심은 얼마나 중복된 문자를 확인하는지가 중요하다.
물론 이 문제를 혼자서 해결 못했기에 이렇게 블로그에 정리 중이다.
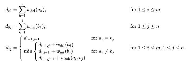
편집 거리 알고리즘
위키의 Edit distance 내용을 보게 되면 다양한 종류에 대한 내용이 나온다.
글에서 이야기 하는 것은 2개의 문자열이 주어졌을 때, 편집의 최소 가중치를 이야기한다.

예제
문자열 "kitten"을 "sitting"으로 변경할 때 가중치를 계산한다
위에서 나온 알고리즘으로 문자열이 비어있는 것과 비교를 할 때, 1개씩 삭제해야 하기에 아래와 같은 배열로 가중치를 표현한다.
| "" | k | i | t | t | e | n | |
| "" | 0 | 1 | 2 | 3 | 4 | 5 | 6 |
| s | 1 | ||||||
| i | 2 | ||||||
| t | 3 | ||||||
| t | 4 | ||||||
| i | 5 | ||||||
| n | 6 | ||||||
| g | 7 |
문자가 같다면 최소의 가중치를 적는다.

같지 않다면 삽입, 삭제 그리고 변경 연산을 통한 가중치를 확인한다

문자열 "ki"와 "si"의 "i"는 같은 문자이기 때문에 "k"와 "s"의 가중치와 동일하다
| "" | k | i | t | t | e | n | |
| "" | 0 | 1 | 2 | 3 | 4 | 5 | 6 |
| s | 1 | 1 | 2 | 3 | 4 | 5 | 6 |
| i | 2 | 2 | 1 | ||||
| t | 3 | 3 | |||||
| t | 4 | 4 | |||||
| i | 5 | 5 | |||||
| n | 6 | 6 | |||||
| g | 7 | 7 |
위와 같은 계산을 반복하면 아래와 같은 배열이 완성된다.
배열의 마지막 값은 최소 편집된 가중치를 표현한다.
| "" | k | i | t | t | e | n | |
| "" | 0 | 1 | 2 | 3 | 4 | 5 | 6 |
| s | 1 | 1 | 2 | 3 | 4 | 5 | 6 |
| i | 2 | 2 | 1 | 2 | 3 | 4 | 5 |
| t | 3 | 3 | 2 | 1 | 2 | 3 | 4 |
| t | 4 | 4 | 3 | 2 | 1 | 2 | 3 |
| i | 5 | 5 | 4 | 3 | 2 | 2 | 3 |
| n | 6 | 6 | 5 | 4 | 3 | 3 | 2 |
| g | 7 | 7 | 6 | 5 | 4 | 4 | 3 |
코드
import Foundation
let p = Array(readLine()!), P = p.count, n = Array(readLine()!), N = n.count
var T = Array(repeating: Array(repeating: 0, count: N+1), count: P+1)
for i in 0...P { T[i][0] = i }
for i in 0...N { T[0][i] = i }
for i in 1...P {
for j in 1...N {
T[i][j] = p[i-1] == n[j-1] ? T[i-1][j-1] : min(T[i-1][j-1], T[i-1][j], T[i][j-1])+1
}
}
print(T[P][N])'자료구조와 알고리즘 > 알고리즘' 카테고리의 다른 글
| [Swift] 백준 6987: 월드컵 (0) | 2024.04.11 |
|---|---|
| [Swift] 백준 12015번: 가장 긴 증가하는 수열2 (0) | 2024.04.06 |
| [Swift] 프로그래머스 N으로 표현 (0) | 2024.03.19 |
| [Swift] 백준 도넛과 막대 그래프 - 2024 카카오 겨울 인턴십 (0) | 2024.03.18 |
| [Swift] 프로그래머스 N-Queen - DFS (0) | 2024.03.11 |
@jaewpark :: 코스모스, 봄보다는 늦을지언정 가을에 피어나다
포스팅이 좋았다면 "좋아요❤️" 또는 "구독👍🏻" 해주세요!